Reguli De Calcul Cu Puteri
Reguli De Calcul Cu Puteri
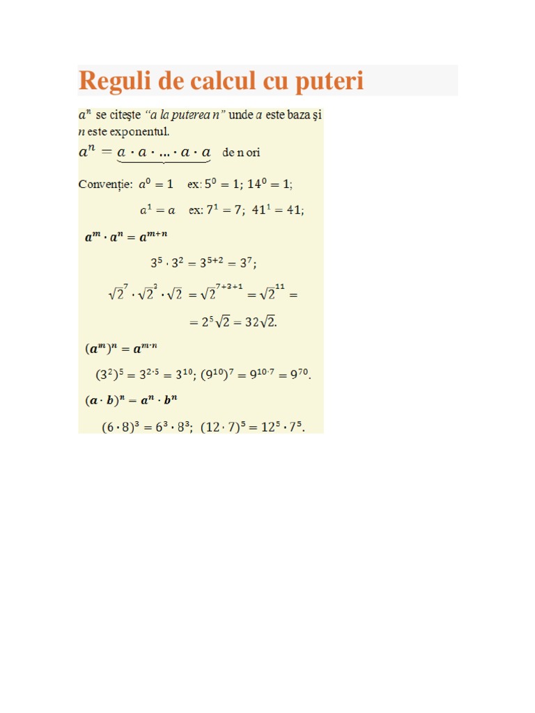
If playback doesn't begin shortly, try restarting your device. Inmultirea puterilor care au aceeasi baza:
Iata cateva CV-uri de cuvinte cheie pentru a va ajuta sa gasiti cautarea, proprietarul drepturilor de autor este proprietarul original, acest blog nu detine drepturile de autor ale acestei imagini sau postari, dar acest blog rezuma o selectie de cuvinte cheie pe care le cautati din unele bloguri de incredere si bine sper ca acest lucru te va ajuta foarte mult
Numărul 0 este un număr ntreg. Ecuatii cu necunoscuta la exponentul puterii rezolvate folosind regulile de calcul cu. „reguli de calcul cu puteri:
O chestiune care dă deseori bătăi de cap elevilor.
În acest articol vor fi explicate câteva reguli de calcul cu puteri. Nu imi place scoala (163) (39) raspunde. Scrierea în baza 10 și scrierea în baza 2.
Ridicarea unui cat la o putere: · x (de n ori x) ex: Cu alte cuvinte, vom vorbi despre următoarele:
Reguli de calcul cu puteri.
Reguli de calcul cu puteri. Impartirea puterilor care au aceeasi baza: Împărțirea de puteri cu aceeași bază pornind de la exemplul anterior, să mai descoperim o regulă de calcul cu puteri.
Yonnel | colegiul tehnic constantin brâncuşi petrila Am · an = am + n oricare ar fi a, m şi n numere naturale. = efectuăm înmulțirile din paranteză și obținem:
Înmulţirea puterilor cu aceeaşi bază.
În acest articol vor fi explicate câteva reguli de calcul cu puteri. Inmultirea puterilor care au aceeasi baza: Sorin borodi, profesor de matematică.

Posting Komentar untuk "Reguli De Calcul Cu Puteri"