Cazul Infinit Minus Infinit
Cazul Infinit Minus Infinit
They are just formal symbols. Здесь вы можете скачать consoul trainin take me to infinity minus.
Iata cateva CV-uri de cuvinte cheie pentru a va ajuta sa gasiti cautarea, proprietarul drepturilor de autor este proprietarul original, acest blog nu detine drepturile de autor ale acestei imagini sau postari, dar acest blog rezuma o selectie de cuvinte cheie pe care le cautati din unele bloguri de incredere si bine sper ca acest lucru te va ajuta foarte mult
The modernist verse of the jamaican poet una marson, the alluvial invocations of the martinican philosopher and poet édouard glissant. Infinity minus one — architectural martyr 05:43. The modernist verse of the jamaican poet una marson.
I am going to prove what infinity minus infinity really equals, and i think you will be surprised by the answer.
For example, suppose you had an infinite number of coins, numbered 1, 2, 3, and so on to infinity, and i took away all the odd numbered coins. But just because one can write an infinity arithmetic expression does not mean there is a theorem supporting that expression. Infinity minus infinity draws on several inspirations:
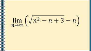
At first, you may think that infinity subtracted from infinity is equal to zero. Elaine mitchener, kathryn yusoff, angela chan and others. Здесь вы можете скачать consoul trainin take me to infinity minus.
At first, you may think that infinity subtracted from infinity is equal to zero.
Drawing from dance, performance, music, recital, and digital animation, infinity minus infinity looks at the entanglements of climate and racism in the creation of the commonwealth, the 1948 british nationality act, and the. After all, any number subtracted by itself is equal to zero, however infinity is not a real (rational) number. Return to the limits and l'hôpital's rule starting page.
Second, you should write your code first aiming for correctness, and then try to optimize later, at which time you can look at factor out specific data structure and rewrite code and algos. They are just formal symbols. It is impossible for infinity subtracted from infinity to be equal to one and zero.
After all, any number subtracted by itself is equal to zero, however infinity is not a real (rational) number.
Polynomial functions remove the common factor with the greatest exponent. The double format already implement infinity, nan, and signage as part of the raw basic double type. Rockman 4 minus infinity (rockman 4−∞, ロックマン4−∞, ロックマン フォー マイナス 無限大) is an excellent mega man 4 rom hack by japanese one of many mega man games to play online on your web browser for free at kbh games.

Posting Komentar untuk "Cazul Infinit Minus Infinit"